segmentation method
- K-means clustering
- Mean shift
- Normalized_cut
- Graph cut
- Random_walk
- Markov random field (MRF) optimization
Semantic segmentation : 이미지를 분류대로 색으로 나눠서 새로운 그림으로 나타냄. 차는 다 차로, 사람은 다 사람으로..
Instance segmentation : 그림 위에 인식된 사물들을 색깔로 덮어서 객체별로 표현. 배경은 따로 인식하지 않음
Panoptic segmentation : 위 두 개를 합친 건데, 배경까지 전부 다 나누는데(배경들은 따로 나누지 않음. 예를 들어 나무는 그냥 다 나무), 객체는 따로 분리. ex)사람1, 사람2, ...
single thresholding
하나의 한계점을 중심으로, 흑백으로 나눔
double thresholding
low, high threshold
thresholding을 하기 전에, 노이즈를 없애야 하기 때문에 스무딩 후 진행하는 것이 좋음
근데.. 적당한 threshold를 찾고 싶은데, 그렇다고 모든 이미지마다 내가 적절한 threshold를 찾아주긴 힘듦.
만약.. 객체 vs 배경 이렇게 이진으로 나눌 수 있는 경우, 히스토그램 분포를 둘로 나눌 수 있다.
두 분포가 겹쳐지는 부분이 threshold이다.
Otsu's Method
0~255의 픽셀값을 다 탐색해서, 0~k는 class 1로, k+1~255는 class 2로 나눴을 때 각 클래스 내부 원소끼리 분산이 작은 아이로.. k를 골라야 함. 저 k가 올바른 threshold임.
k를 잘 정하면.. 내부 클래스의 분산은 최소화되고 클래스간 분산은 최대화될것

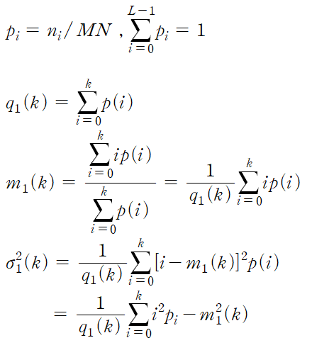
n은 히스토그램에서 y값을 의미하고, M*N은 전체 픽셀 수를 말한다.
앞 집단의 확률의 합
앞 집단의 확률의 평균 확률
분산 구하는 식


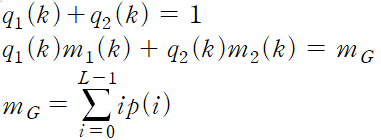
: within class variance, 이걸 최소화하는 것이 목표.

:between class variance. 이건 최대화하는 것이 목표.
(분산 계산 필요X, 평균만으로 O)
q1과 q2를 곱한 값이 max이려면, 서로 비슷한 값이어야 함.
한계
전체 이미지에 똑같은 threshold값이 주어지기 때문에, 배경이 점점 흐려지고 그에따라 객체 이미지도 점점 흐려지는 그림이라면, 그냥 한쪽이 아예 사라질 수도.
-> 간단 해결법
: 밝기에 따라 원본 이미지를 나누어 몇 개의 sub-image로 바꾸고, 각각 threshold를 적용한다.
'AI > 컴퓨터비전' 카테고리의 다른 글
| compression (1) | 2024.06.16 |
|---|---|
| restoration (1) | 2024.06.16 |
| Morphological (1) | 2024.06.15 |
| edge detection (nms 고치기) (0) | 2024.06.15 |
| image resizing (1) | 2024.06.15 |